• Предмет: Алгебра
  • Автор: 54st
  • Вопрос задан 9 лет назад

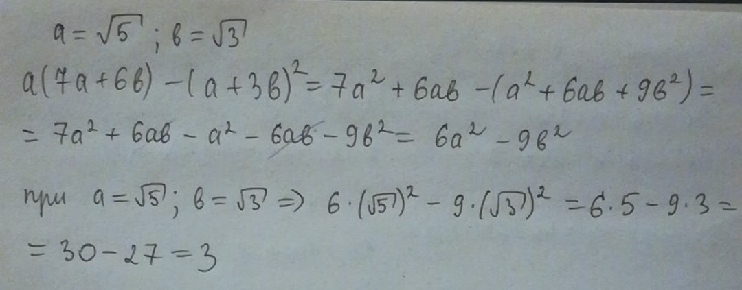
a(7a+6b)-(a+3b)^2
При a=корень из 5
b=корень из 3

Ответы

Ответ дал: Inna0512
0
Найти значение выражения.
Приложения:
Ответ дал: 54st
0
спасибо
Вас заинтересует