• Предмет: Алгебра
  • Автор: simsnothave
  • Вопрос задан 9 лет назад

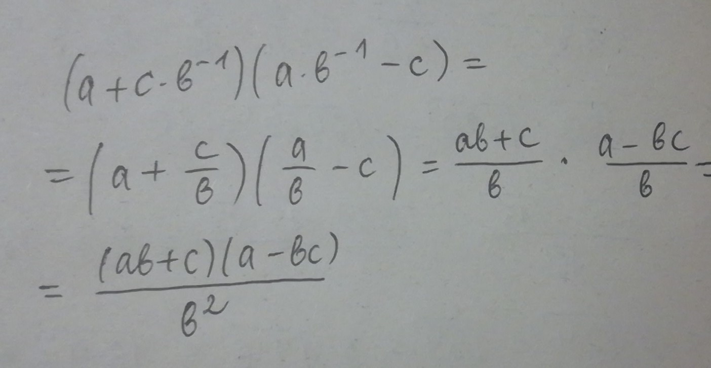
пожалуйста записать в виде дроби (а+с в-1) (а в-1-с)

Ответы

Ответ дал: Inna0512
0
Записать в виде дроби.
Приложения:
Ответ дал: simsnothave
0
Только у меня буквы в нет , это значит во -1 степени вот ) Реши пожалуйста , извини если отвлекаю
Вас заинтересует