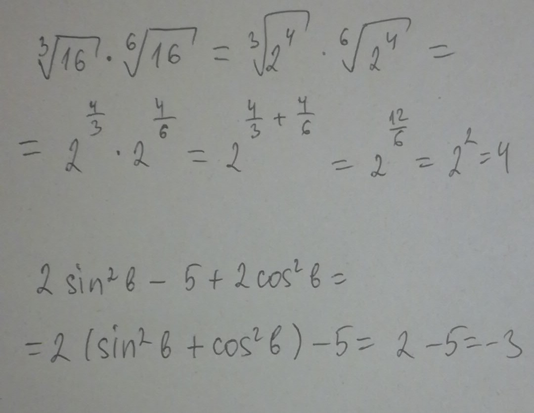
1)корень в степени 3 из 16 умножить на корень в степени 6 из 16
2) 2 sin квадрат В - 5+2cos квадрат В
Ответы
Ответ дал:
0
1)корень в степени 3 из 16 умножить на корень в степени 6 из 16 = 4
2) 2 sin квадрат В - 5+2cos квадрат В = -3
2) 2 sin квадрат В - 5+2cos квадрат В = -3
Приложения:

Ответ дал:
0
Спасииибо огромное!!!
Вас заинтересует
2 года назад
3 года назад
10 лет назад