ПОМОГИТЕ ПРОШУ ПРОШУ ПРОШУ!!!!! ДАЮ 15 БАЛЛОВ!
найдите значения выражения 11√х=1
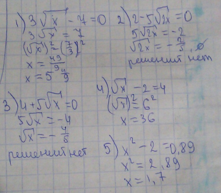
3√х-7=0
2-5√2х=0
4+5√х=0
√х-2=4
х^2-2=0,89
Ответы
Ответ дал:
0
.....................
Приложения:

Ответ дал:
0
Спасибо тебе большое
Ответ дал:
0
там ещё 11✓х=1 (✓х)²=(1/11)² х=1/121
Вас заинтересует
2 года назад
3 года назад
9 лет назад
9 лет назад
10 лет назад