Ответы
Ответ дал:
0
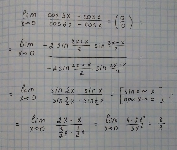
Переход от суммы к произведению использовал формулу и замены на эквивалентные малые
Приложения:

Ответ дал:
0
смотрите мой профиль, где вопросы
Ответ дал:
0
или просто обновляйте, раздел математика
Ответ дал:
0
за ответ даю 100
Ответ дал:
0
я думал по данному примеру будут вопросы )
Ответ дал:
0
там уже все решили
Вас заинтересует
2 года назад
3 года назад
3 года назад
9 лет назад
9 лет назад
10 лет назад