• Предмет: Химия
  • Автор: Luky4anovadasha
  • Вопрос задан 9 лет назад

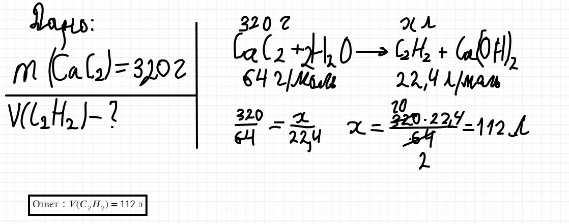
m(CaC2)=320грамм CaC2+H2O=C2H2 v(C2H2)-?

Ответы

Ответ дал: MeDi0N
0
..................................................

Приложения:
Вас заинтересует