• Предмет: Геометрия
  • Автор: Tukko
  • Вопрос задан 9 лет назад

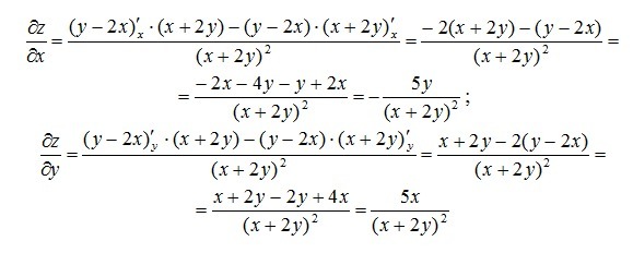
Найти частные производные z=y-2x/x+2y



(случайно выбрал категорию геометрия)

Приложения:

Ответы

Ответ дал: SergFlint
0
Решение в приложении.
Приложения:
Вас заинтересует