• Предмет: Математика
  • Автор: ivanvasilionov
  • Вопрос задан 9 лет назад

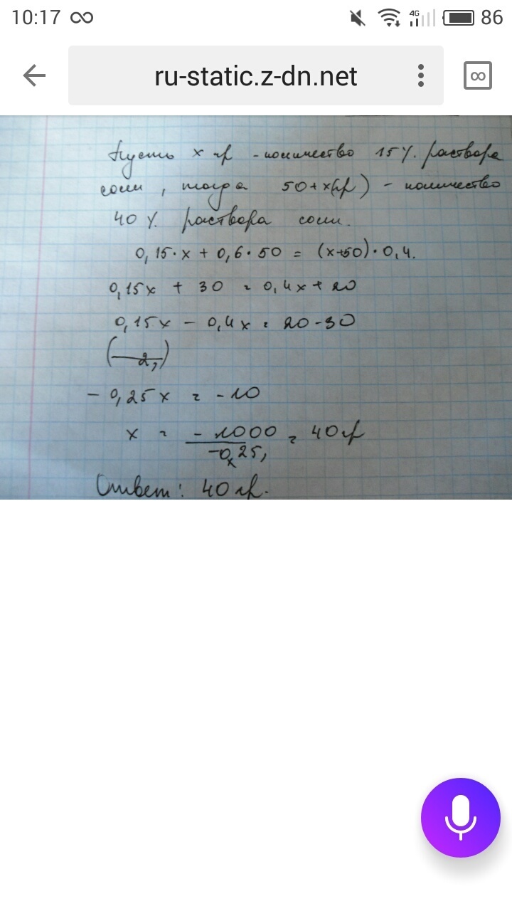
Сколько граммов 15 процентного раствора соли надо добавить к 50 граммам 60 процентного раствора соли, чтобы получить 40 процентный раствор соли?

Ответы

Ответ дал: 728470
0
возникнут вопросы,то напиши.
Приложения:
Вас заинтересует