• Предмет: Алгебра
  • Автор: katea001
  • Вопрос задан 9 лет назад

помогите пожалуйста ,очень нужно

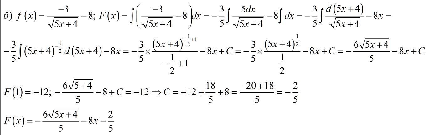
Приложения:

Ответы

Ответ дал: Аноним
0
.......................................................................................
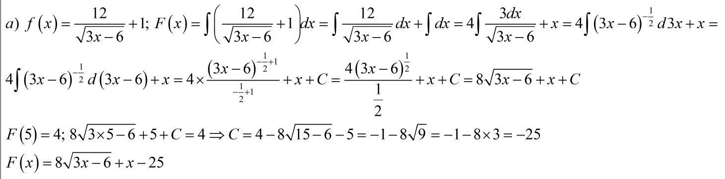
Приложения:
Вас заинтересует