• Предмет: Математика
  • Автор: gora1511v
  • Вопрос задан 9 лет назад

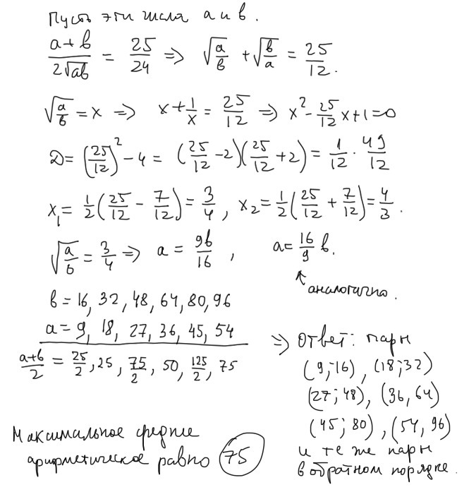
Найдите все пары двузначных натуральных чисел, у которых среднее арифметическое в 25/24 раза больше среднего геометрического. В ответе укажите наибольшее из средних арифметических для всех таких пар.

Ответы

Ответ дал: Denik777
0
Решение прицеплено в картинке.
Приложения:
Ответ дал: mikhaillukashc
0
А как ты получил корень из a/b + корень из b/a?
Ответ дал: Denik777
0
(a+b)/√(ab)=a/√(ab)+b/√(ab)=(√a*√a)/(√a*√b)+(√b*√b)/(√a*√b)=
Ответ дал: Denik777
0
=√a/√b+√b/√a
Вас заинтересует