Ответы
Ответ дал:
0
решение смотри на фотографии
Приложения:

Ответ дал:
0
Спасибо вам)
Ответ дал:
0
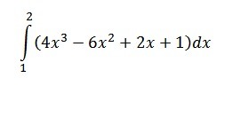
Интеграл степенной функции находится по формуле:

Приложения:

Ответ дал:
0
Спасибо большое)
Вас заинтересует
2 года назад
3 года назад
3 года назад
9 лет назад
10 лет назад