• Предмет: Алгебра
  • Автор: Аноним
  • Вопрос задан 9 лет назад

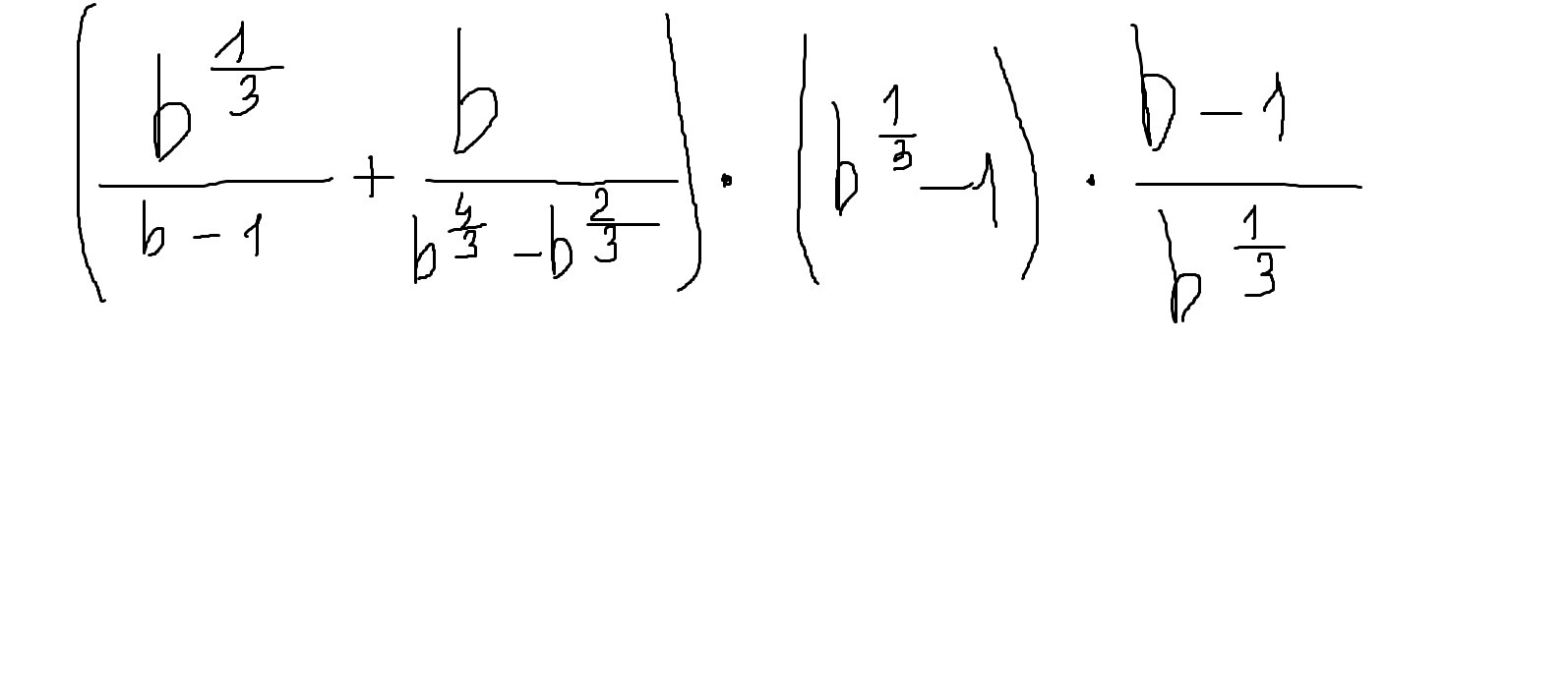
Упростите выражение!
Варианты ответов:
b
-b
b^(2/3)-1
b^(1/3)-1
нужно с решением!

Приложения:

Ответы

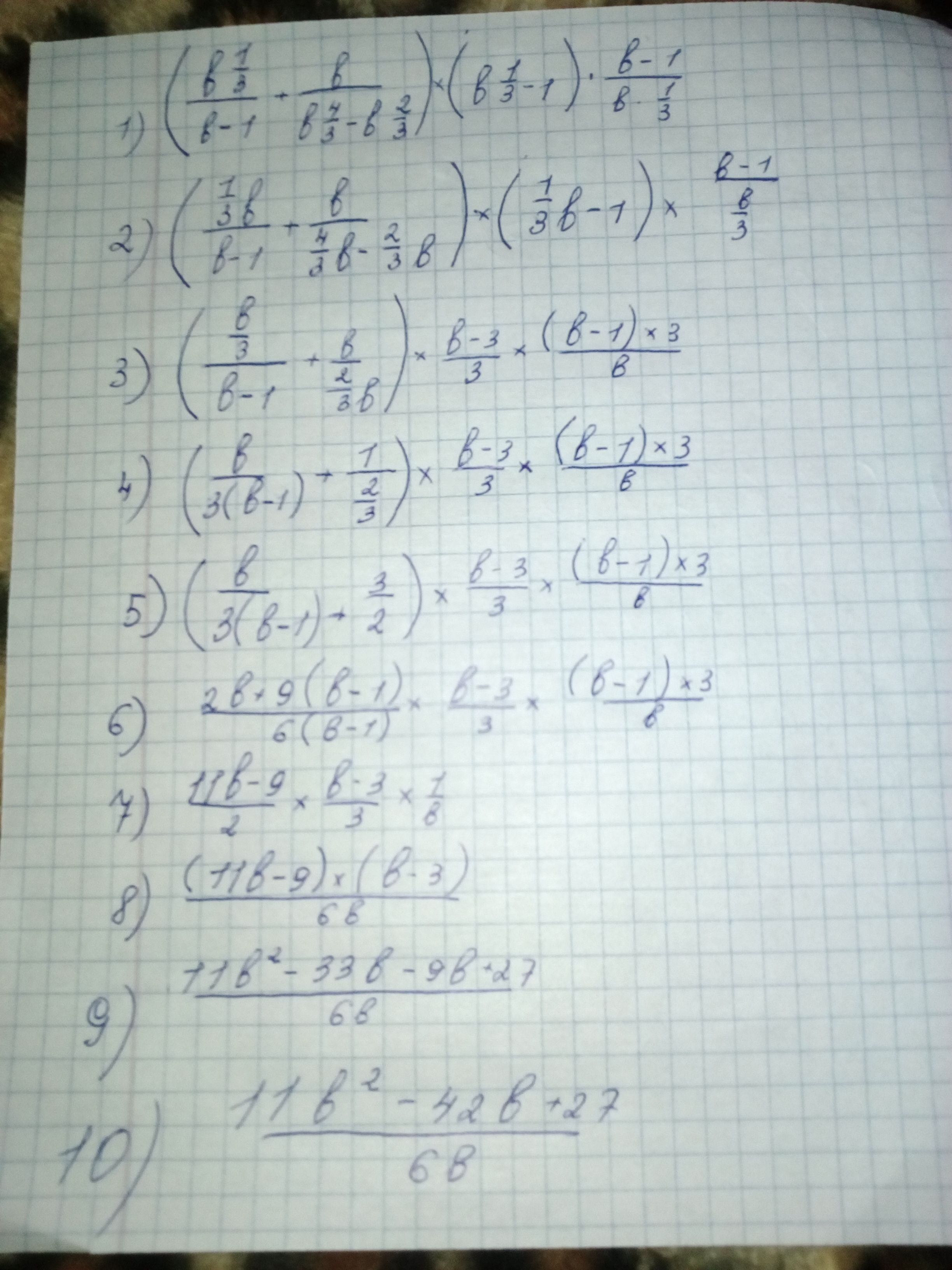
Ответ дал: ArianaLove2004
0
незнаю у меня так вышло
Приложения:
Ответ дал: ZabeRliN
0
(это не дроби, это степени)
Вас заинтересует