• Предмет: Алгебра
  • Автор: Zhannocka
  • Вопрос задан 9 лет назад

Здравствуйте. Пожалуйста, помогите решить и желательно понять. Очень надо

Приложения:

Ответы

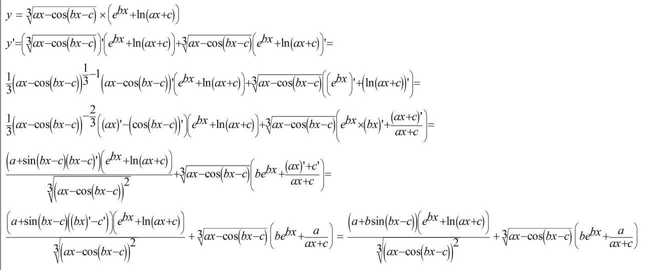
Ответ дал: Аноним
0
//////////////////////////////////////////////////////////////////////////////////////
Приложения:
Ответ дал: Аноним
0
надеюсь, все понятно
Вас заинтересует