• Предмет: Физика
  • Автор: malishkoartem21
  • Вопрос задан 9 лет назад

Действительное значение тока в цепи переменного тока стандартной частоты равно 2 А. каково апмлитудное значение тока? напишите уравнение зависимости тока от времени, если начальная фаза равна нулю. в какие моменты времени(в течении одного периода) мгновенное значение тока равно половине действующего?

Ответы

Ответ дал: viktoriasmirnova200
0
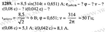
..............................................
Приложения:
Ответ дал: malishkoartem21
0
скинь ссылочку на готовое дз
Вас заинтересует