Срочно нужно.Определите силу взаимодействия между зарядами 9нКл и 2,4мкКл,находящихся на расстоянии 2,4мм.Помогите пожалуйста решить.
Ответы
Ответ дал:
0
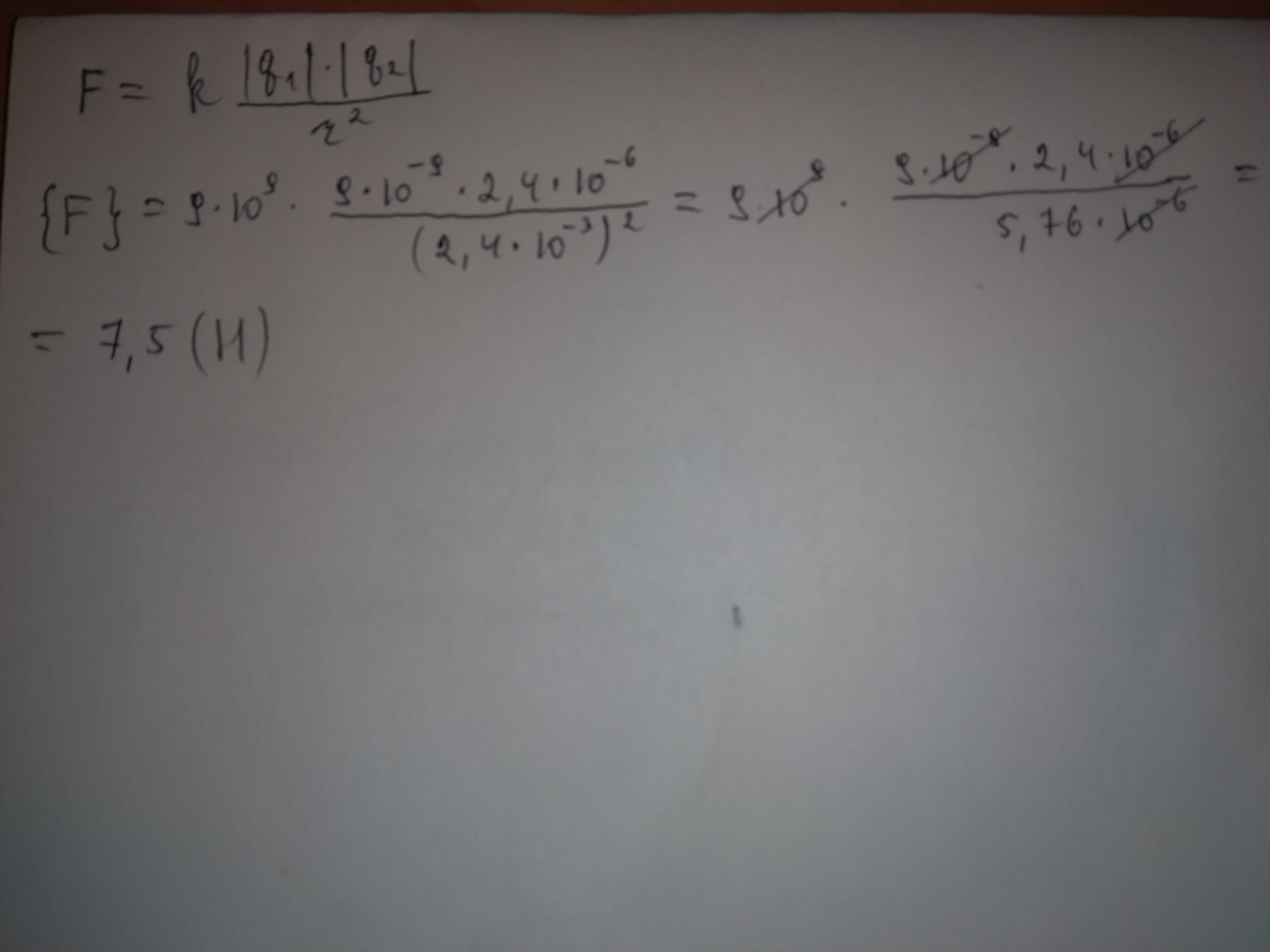
Используем закон Кулона для точечных зарядов. Подставляем все числа не забывая про СИ.
Приложения:
Ответ дал:
0
Поправочка: 33.75 (Н)
Ответ дал:
0
Спасибо большое)
Ответ дал:
0
Дано:
q^1 = 9 нКл
q^2 = 2,4 мкКл
r = 2,4 мм
k = 9 × 10^9 (н×м^2) / Кл^2
Найти:
F - ?
СИ:
q^1 = 9 нКл = 9 × 10^-9 Кл
q^2 = 2,4 мкКл = 2,4 × 10^-6 Кл
Решение:
F = (k × q^1 × q^2) / r^2,
F = (9 × 10^9 × 9 × 10^-9 × 2,4 × 10^-6) / 2,4^2 = (81 × 10^-6) / 2,4 = 81 / (12 × 2^6 × 5^5) = 27 / 800000 = 0,00003375 = 3375 × 10^-5 Н.
Ответ: 3375 × 10^-5 Н.
q^1 = 9 нКл
q^2 = 2,4 мкКл
r = 2,4 мм
k = 9 × 10^9 (н×м^2) / Кл^2
Найти:
F - ?
СИ:
q^1 = 9 нКл = 9 × 10^-9 Кл
q^2 = 2,4 мкКл = 2,4 × 10^-6 Кл
Решение:
F = (k × q^1 × q^2) / r^2,
F = (9 × 10^9 × 9 × 10^-9 × 2,4 × 10^-6) / 2,4^2 = (81 × 10^-6) / 2,4 = 81 / (12 × 2^6 × 5^5) = 27 / 800000 = 0,00003375 = 3375 × 10^-5 Н.
Ответ: 3375 × 10^-5 Н.
Приложения:
Ответ дал:
0
Тебе тоже большое спасибо))
Вас заинтересует
2 года назад
2 года назад
3 года назад
3 года назад
9 лет назад
9 лет назад
10 лет назад