• Предмет: Математика
  • Автор: taraniariba
  • Вопрос задан 9 лет назад

Помогите со степенями, не пойму как выходит 10^8, и 10^9.Если можно распишите.

Приложения:

Ответы

Ответ дал: Banabanana
0
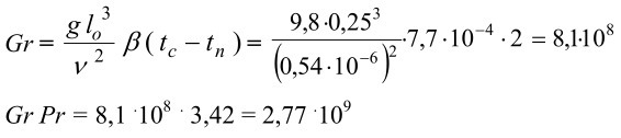
 cfrac{9.8*0.25^3}{(0.54*10^{-6})^2}*7.7*10^{-4}*2=  cfrac{9.8*0.015625*7.7*10^{-4}*2}{0.2916*10^{-12}}= \\ \ =cfrac{2.358125*10^{12}}{0.2916*10^{4}}=8.1*10^{12-4}=8.1*10^8 \\\\ 8.1*10^8*3.42 = 27.7*10^8=2.77*10^9
Ответ дал: taraniariba
0
теперь все понятно,спасибо вам огромное за помощь
Ответ дал: Banabanana
0
пожалуйста
Ответ дал: taraniariba
0
подскажите еще пожалуйста,а если 2,2*10^8*3,42=7,2 то степень будет 10^8 или в 9?
Ответ дал: Banabanana
0
=7,5 * 10^8
Ответ дал: taraniariba
0
спасибо
Вас заинтересует