• Предмет: Математика
  • Автор: iceheart1618
  • Вопрос задан 9 лет назад

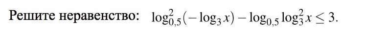
Помогите, пожалуйста, никак не могу сообразить как решать.

Приложения:

Ответа на этот вопрос пока нет. Попробуйте найти его через форму поиска.

Вас заинтересует