• Предмет: Математика
  • Автор: Аноним
  • Вопрос задан 11 лет назад

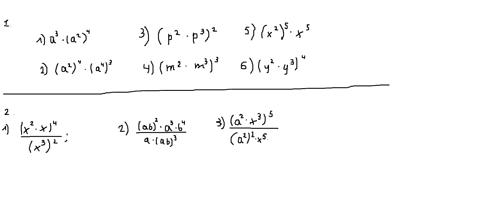
ребят помагите пожалуста решить нужно только упрастить лучшее решение дам обещаю помагите пожалуста 

Приложения:

Ответы

Ответ дал: Artem112
0
a^3(a^2)^4=a^3a^8=a^{11}
(a^2)^4(a^4)^3=a^8a^{12}=a^{20}
(p^2p^3)^2=(p^5)^2=p^{10}
(m^2m^3)^3=(m^5)^3=m^{15}
(x^2)^5x=x^{10}x=x^{11}
(y^2y^3)^4=(y^5)^4=y^{20}
 frac{(x^2x)^4}{(x^3)^2} = frac{(x^3)^4}{x^6} =frac{x^{12}}{x^6} =x^6
 frac{(ab)^2a^3b^4}{a(ab)^3} = frac{a^2b^2a^3b^4}{aa^3b^3} = frac{a^5b^6}{a^4b^3} =ab^3
 frac{(a^2x^3)^5}{(a^2)^2x^5} = frac{a^{10}x^{15}}{a^4x^5} =a^6x^{10}
Вас заинтересует