Ответы
Ответ дал:
0
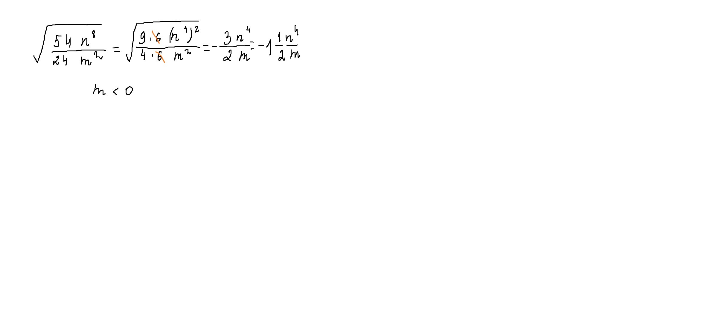
решение смотри внизу
если m<0, то тогда , перед дробью появится "-"
если m<0, то тогда , перед дробью появится "-"
Приложения:

Вас заинтересует
2 года назад
2 года назад
3 года назад
3 года назад
9 лет назад
9 лет назад
10 лет назад