Ответы
Ответ дал:
0
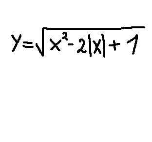
х² = |x|².
x²-2|x|+1=(|x|-1)².
√((|x|-1)²) = | |x|-1|. Строим график у₁ = |x|-1. Получим 1 график,Это прямая у=х-1 при неотрицательных х и ее отражение в левую полуплоскость.
Теперь из нижней полуплоскости отражаем в верхнюю. Это искомый график .
x²-2|x|+1=(|x|-1)².
√((|x|-1)²) = | |x|-1|. Строим график у₁ = |x|-1. Получим 1 график,Это прямая у=х-1 при неотрицательных х и ее отражение в левую полуплоскость.
Теперь из нижней полуплоскости отражаем в верхнюю. Это искомый график .
Приложения:
Ответ дал:
0
Там под корнем получилась 22 степень, вместо 2.
Ответ дал:
0
исправил 22 на 2.
Вас заинтересует
2 года назад
3 года назад
3 года назад
9 лет назад
9 лет назад
10 лет назад
10 лет назад