упростить выражение с корнями.
Помогите, прошу! по какому алгоритму упрощать, нужно ли ОДЗ?
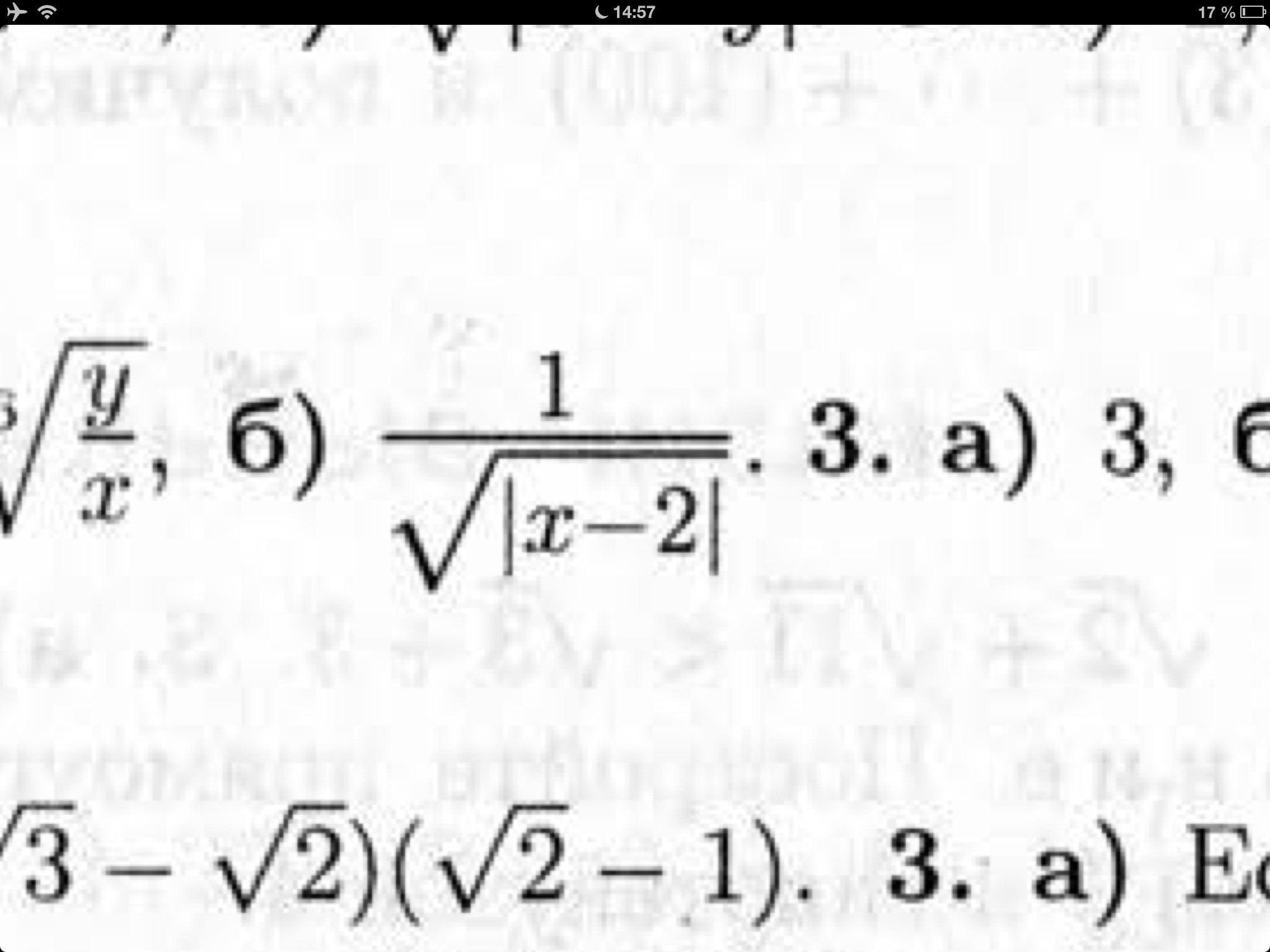
Справа фотография ответа, который должен получиться.
пожалуйста, помогите
Приложения:


Ответы
Ответ дал:
0
Ответ дал:
0
то есть, когда корень ЧЁТНОЙ степени, мы не только выносим из под корня с модулем, но и сокращаем степени числа и корня с модулем?
Вас заинтересует
2 года назад
3 года назад
3 года назад
9 лет назад
9 лет назад
10 лет назад
10 лет назад