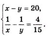
Помогите решить систему уравнений x-y=20 1x-1y=415. Дам 30 балов. (и распишете пожалуйста, я слегка аутист)
Приложения:

Ответа на этот вопрос пока нет. Попробуйте найти его через форму поиска.
Вас заинтересует
2 года назад
2 года назад
3 года назад
3 года назад
9 лет назад
10 лет назад