Ответы
Ответ дал:
0
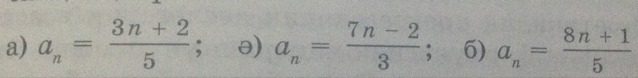
1)а1=(3*1+2)/5=1 а2=(3*2+2)/5=8/5
d=a2-a1=8/5-5/5=3/5=0.6
2)a1=(7-2)/3=5/3 a2=(7*2-2)/3=10/3
d=10/3-5/3=5/3=1 2/3.
3) a1=8+1/5=9/5 a2=8*2+1/5=17/5
d=a2-a1=17/5-9/5=8/5=1.6
d=a2-a1=8/5-5/5=3/5=0.6
2)a1=(7-2)/3=5/3 a2=(7*2-2)/3=10/3
d=10/3-5/3=5/3=1 2/3.
3) a1=8+1/5=9/5 a2=8*2+1/5=17/5
d=a2-a1=17/5-9/5=8/5=1.6
Вас заинтересует
2 года назад
3 года назад
9 лет назад
10 лет назад