Ответы
Ответ дал:
0
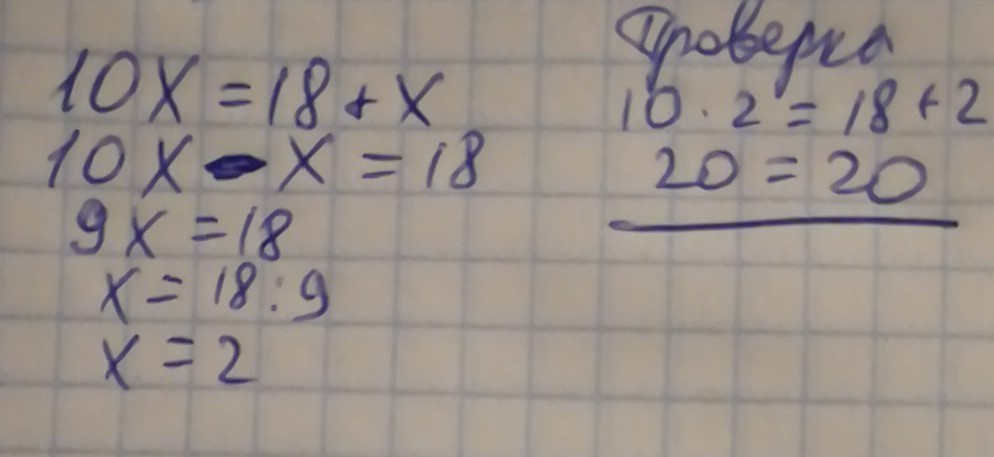
10x-x=18
9x=18 =>x=2
Проверка: 10*2=18+2
20=20
Ответ дал:
0
Спасибо большое за помощь
Ответ дал:
0
Забирай)))))) Все просто)
Приложения:

Ответ дал:
0
Спасибо большое за помощь
Ответ дал:
0
Очень помог!!!!
Вас заинтересует
2 года назад
3 года назад
3 года назад
9 лет назад
10 лет назад