за три дня было проложено 112 м кабеля.В первый день было проложено 4/7 кабеля, а во второй 5/12 оставшегося.Сколько метров кабеля проложили в третий день?Помогите плизз
Ответы
Ответ дал:
0
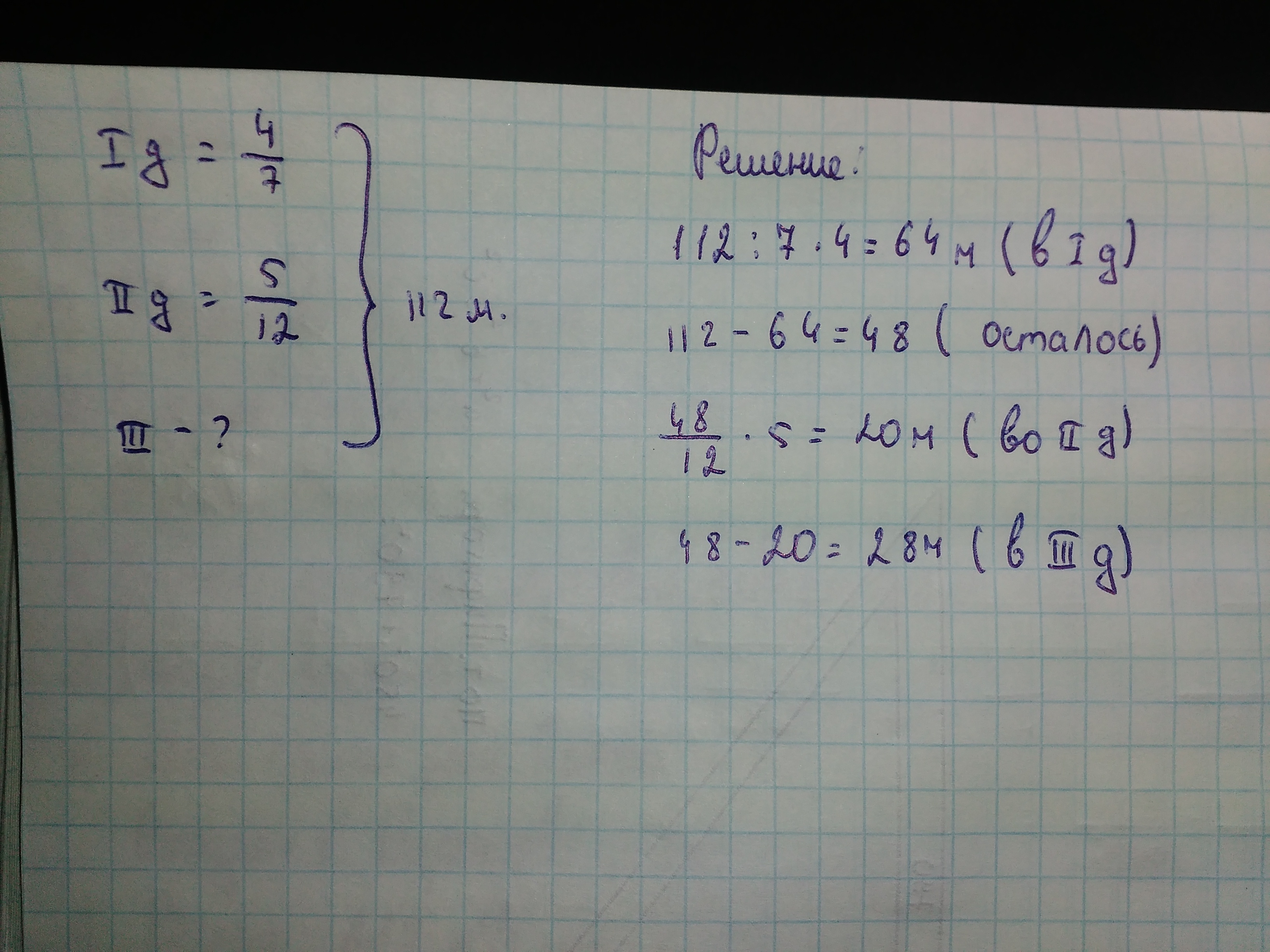
Ответ прикреплен во вложении
Приложения:
Ответ дал:
0
1)112/7*4=64 м в 1 день
2)112-64=48 м осталось
3)48/12*5=20 м во 2 день
4)112-20-48=44 м осталось
2)112-64=48 м осталось
3)48/12*5=20 м во 2 день
4)112-20-48=44 м осталось
Приложения:
Ответ дал:
0
спс
Вас заинтересует
2 года назад
2 года назад
3 года назад
3 года назад
10 лет назад