• Предмет: Математика
  • Автор: тимохин2
  • Вопрос задан 9 лет назад

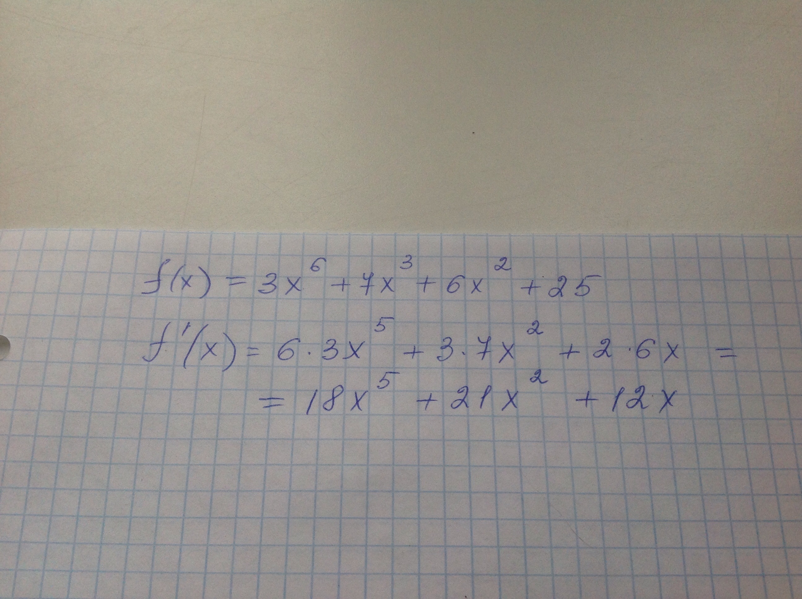
помогите f(x)=3x^6+7x^3+6x^2+25 найти производную функцию

Ответы

Ответ дал: ВладимирБ
0
Решение смотри на фото
Приложения:
Вас заинтересует