Если атмосфера марса состоит на 96% из углекислого газа, на 2% из азота и на 2% из аргона, вычислите молярную массу атмосферы Марса. молярная масса атома углерода равна 12 г/моль аргона 40 г/моль кислорода 16 г/моль азота 14 г/моль
Ответы
Ответ дал:
0
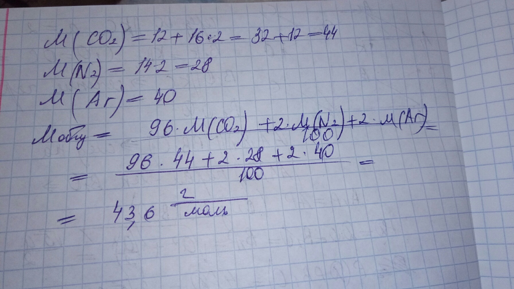
Смотри во вложении.
Приложения:

Ответ дал:
0
что бы я без тебя делал братан!
Ответ дал:
0
Так то братка
Вас заинтересует
2 года назад
2 года назад
3 года назад
3 года назад
9 лет назад
9 лет назад