• Предмет: Математика
  • Автор: JiJhun
  • Вопрос задан 9 лет назад

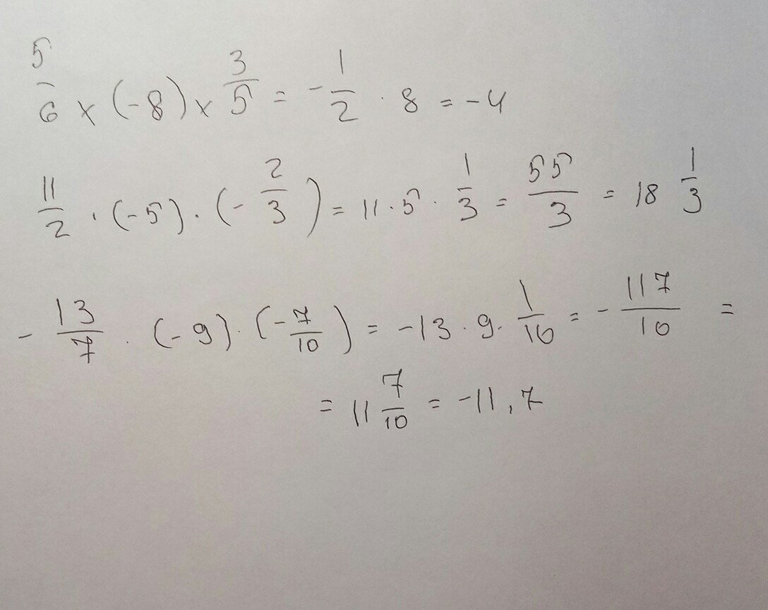
5/6 х (-8) х 3/5 =

1 1/2 х (-5) х (- 2/3) =

-1 3/7 х (-9) х(- 7/10) =

Желательно решение.

Ответы

Ответ дал: Viannia
0
надеюсь, я правильно все сделала)
Приложения:
Вас заинтересует