Ответы
Ответ дал:
0
Произведение крайних равно произведению средних членов пропорции
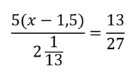
27•5(х- 1,5) = 13 • 2 1/13
135(х-1,5) = 13• 27/13
135х - 202,5 = 27
135х = 27+ 202,5
135х = 229,5
Х = 229,5 : 135
Х = 1,7
1,7 : 17 = 0,1
27•5(х- 1,5) = 13 • 2 1/13
135(х-1,5) = 13• 27/13
135х - 202,5 = 27
135х = 27+ 202,5
135х = 229,5
Х = 229,5 : 135
Х = 1,7
1,7 : 17 = 0,1
Вас заинтересует
2 года назад
2 года назад
3 года назад
10 лет назад