• Предмет: Алгебра
  • Автор: ekurugliyeva
  • Вопрос задан 9 лет назад

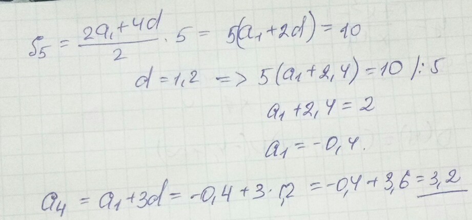
Дана арифметическая прогрессия. Найдите а4 если S5=10 и d=1,2

Ответы

Ответ дал: Аноним
0
Готово...............
Приложения:
Вас заинтересует