• Предмет: Математика
  • Автор: pd101
  • Вопрос задан 2 года назад

Помогите решить, пожалуйста

Приложения:

Ответы

Ответ дал: parus77
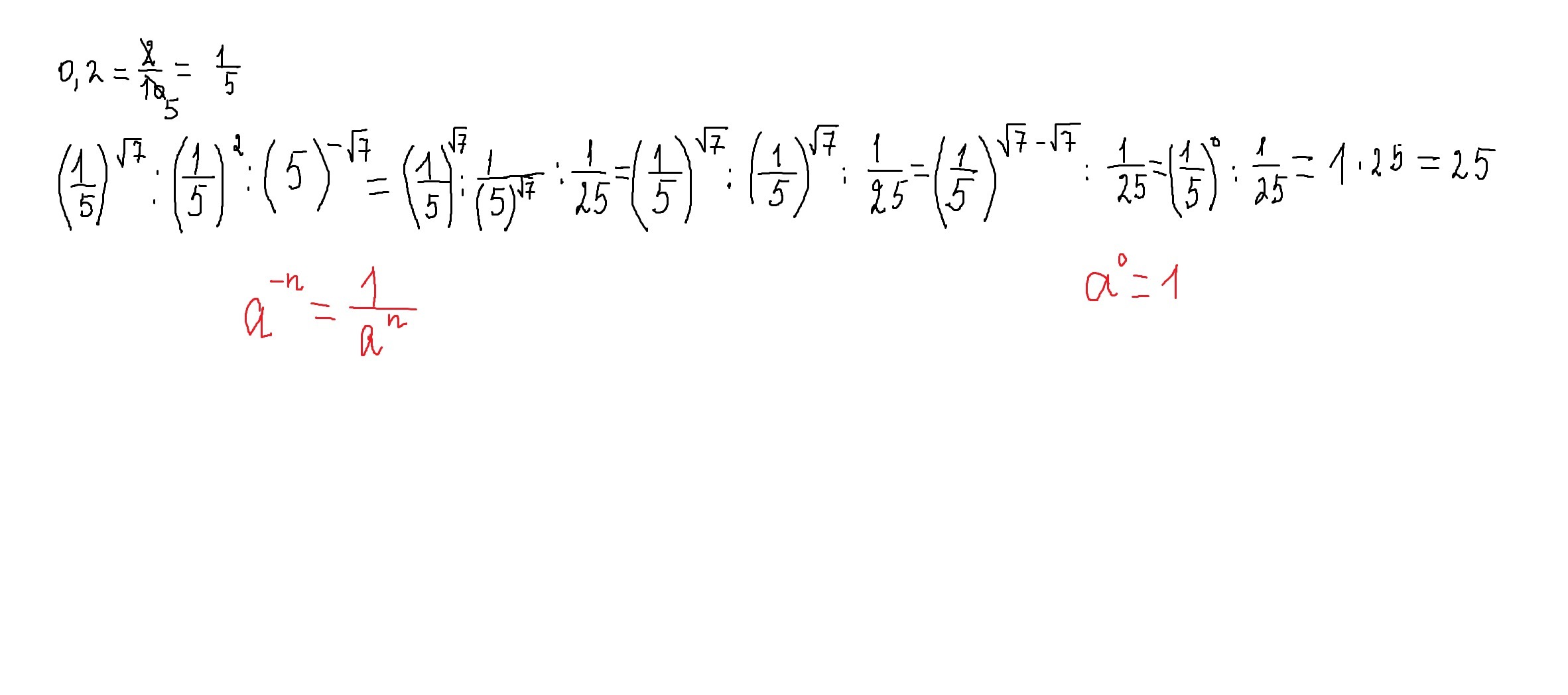
1
смотри решение внизу
Приложения:
Вас заинтересует