• Предмет: Алгебра
  • Автор: Ученик2281997
  • Вопрос задан 9 лет назад

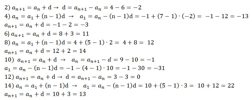
Арифметическая прогрессии очень лёгкие задания решите где почерк там искать не надо решать только четные

Приложения:

Ответы

Ответ дал: novo51
0
решение в приложении
Приложения:
Вас заинтересует