• Предмет: Алгебра
  • Автор: tikunovaanna
  • Вопрос задан 9 лет назад

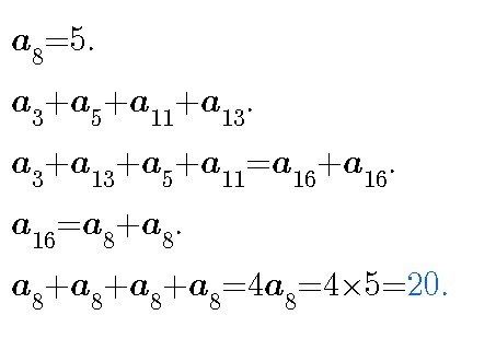
аn-арифметичсекая прогрессия а8=5.Найдите а3+а5+а11+а13
Помогите пожалуйста

Ответы

Ответ дал: BETTELGEUSE
0
смотри на фото...........
Приложения:
Вас заинтересует