• Предмет: Алгебра
  • Автор: KOJIOCOK
  • Вопрос задан 9 лет назад

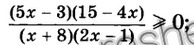
Решить одно неравенство методом интервалов на фото

Приложения:

Ответы

Ответ дал: valenivan
0
Решение задания приложено
Приложения:
Ответ дал: KOJIOCOK
0
Нужно еще решить поможешь такое же
Ответ дал: KOJIOCOK
0
https://znanija.com/task/26741883
Ответ дал: KOJIOCOK
0
Помогите решить это
Ответ дал: KOJIOCOK
0
по ссылке задание: https://znanija.com/task/26741883
Ответ дал: KOJIOCOK
0
Помоги решить пожалуйста https://znanija.com/task/26742249
Вас заинтересует