• Предмет: Алгебра
  • Автор: elimia229
  • Вопрос задан 9 лет назад

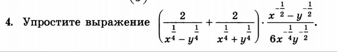
РЕШИТЕ НА ЛИСТКЕ ЭТО ЗАДАНИЕ !!!

Приложения:

Ответы

Ответ дал: ВладимирБ
0
Решение смотри на фото
Приложения:
Вас заинтересует