• Предмет: Алгебра
  • Автор: dashullya2001
  • Вопрос задан 9 лет назад

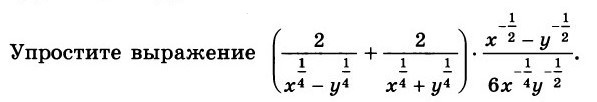
Помогите решить!!!! Алгебра 30 баллов!!!!!!

Приложения:

Ответы

Ответ дал: Лера050304
0
Вот, если чтото не понятно, то спрашивайте
Приложения:
Вас заинтересует