• Предмет: Геометрия
  • Автор: Рудик010
  • Вопрос задан 9 лет назад

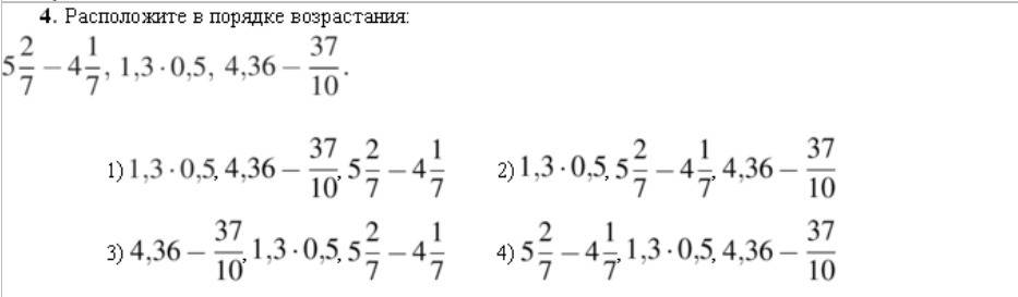
Помогите расположить дроби в порядке возрастания

Приложения:

Ответа на этот вопрос пока нет. Попробуйте найти его через форму поиска.

Вас заинтересует