• Предмет: Алгебра
  • Автор: danil10202
  • Вопрос задан 9 лет назад

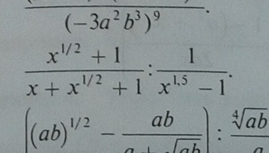
Помогите решить пример по математике я не знаю?

Приложения:

Ответа на этот вопрос пока нет. Попробуйте найти его через форму поиска.

Вас заинтересует