• Предмет: Математика
  • Автор: GreenPorsche
  • Вопрос задан 9 лет назад

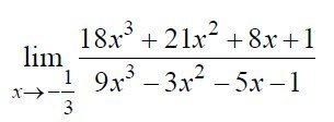
Найти предел

желательно по действиям

Приложения:

Ответа на этот вопрос пока нет. Попробуйте найти его через форму поиска.

Вас заинтересует