• Предмет: Математика
  • Автор: GreenPorsche
  • Вопрос задан 9 лет назад

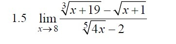
Найти предел

желательно по действиям

Приложения:

Ответы

Ответ дал: BETTELGEUSE
0
begin{array}{l}<br />lim limits_{xto 8}frac{sqrt[3]{x+19} -sqrt{x+1} }{sqrt[5]{4x} -2} \<br />\<br />text{Lopital}\<br />frac{frac{d}{dx} (sqrt[3]{x+19} )-frac{d}{dx} (sqrt{x+1} )}{frac{d}{dx} (sqrt[5]{4x} )-frac{d}{dx} (2)} \<br />lim limits_{xto 8}frac{frac{sqrt[3]{x+19} }{3x+57} -frac{1}{2sqrt{x+1} } }{frac{sqrt[5]{4x} }{5x} -0} \<br />frac{frac{sqrt[3]{8+19} }{3times 8+57} -frac{1}{2sqrt{8+1} } }{frac{sqrt[5]{4times 8} }{5times 8} } =frac{frac{3}{81} -frac{1}{6} }{frac{2}{40} } =-frac{70}{27} <br />end{array}
Вас заинтересует