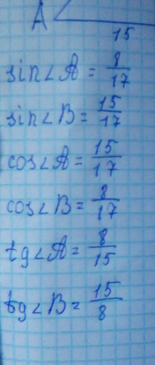
В треугольнике ABC угол C = 90 градусов Найдите синус косинус и тангенс углов A и B если BC = 8 см AB =17 см AC= 15 см
Ответы
Ответ дал:
0
sin A= BC/AB
sinB=AC/AB
cosA=AC/AB
cosB=BC/AB
tgA=BC/AC
tgB=AC/BC
sinB=AC/AB
cosA=AC/AB
cosB=BC/AB
tgA=BC/AC
tgB=AC/BC
Приложения:

Вас заинтересует
2 года назад
3 года назад
9 лет назад
10 лет назад