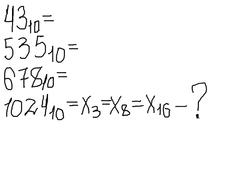
перевести в троичную, восьмеричную, шестнадцатеричную систему счисления)
очень надо!! пожалуйста
Приложения:
Ответа на этот вопрос пока нет. Попробуйте найти его через форму поиска.
Вас заинтересует
3 года назад
3 года назад
8 лет назад
8 лет назад
11 лет назад
11 лет назад
11 лет назад