• Предмет: Алгебра
  • Автор: Lazareva10617
  • Вопрос задан 9 лет назад

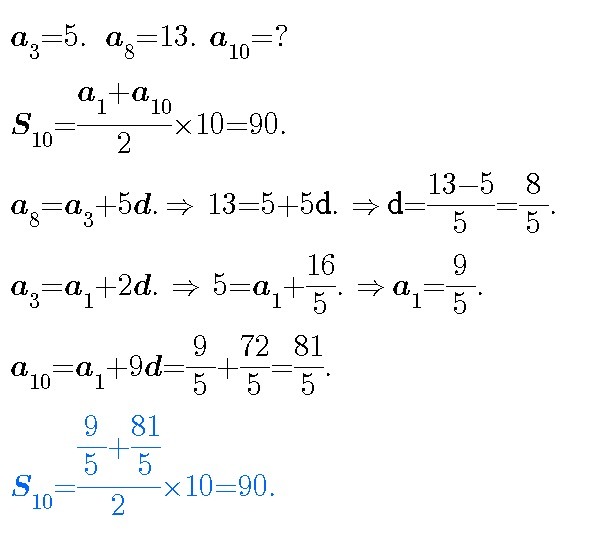
Найдите сумму первых 10 членов арифметической прогрессии a3=5;а8=13.Заранее спасибо.В ответе должно получиться 90

Ответы

Ответ дал: BETTELGEUSE
0
смотри на фото............
Приложения:
Вас заинтересует