• Предмет: Геометрия
  • Автор: Sonya112
  • Вопрос задан 9 лет назад

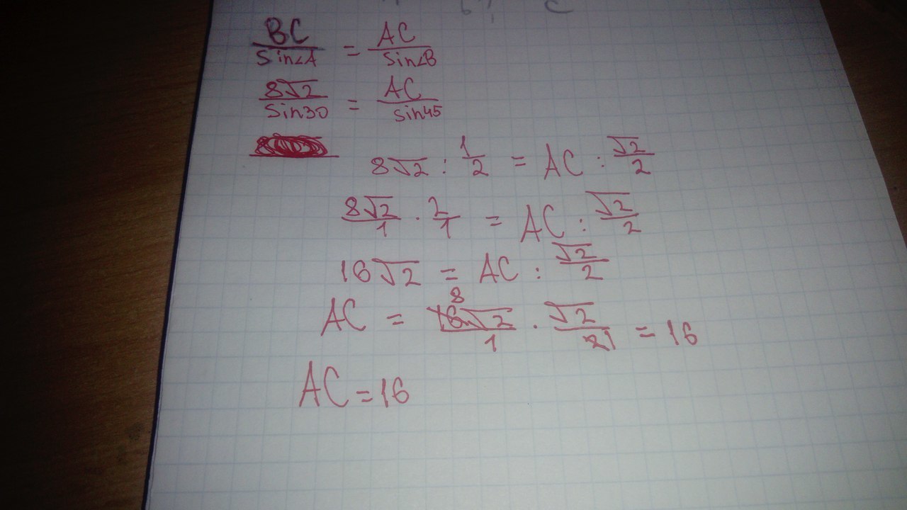
В треугольнике АВС уголА 30 угол в 45 вс 8√2 найдите АС

Приложения:

Ответы

Ответ дал: sweater22weather
0
Решение можешь увидеть на фотографии
Приложения:
Ответ дал: Sonya112
0
Спасибо большое
Вас заинтересует