• Предмет: Алгебра
  • Автор: енот252
  • Вопрос задан 9 лет назад

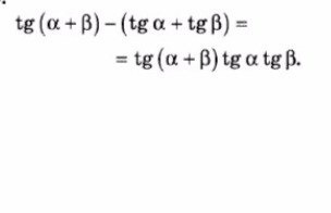
ДОКАЖИТЕ ТОЖДЕСТВО
ОЧЕЕНЬ СРОЧНО
ПОМОГИТЕ ПОЖАЛУЙСТА

Приложения:

Ответы

Ответ дал: ВладимирБ
0
решение смотри на фото
Приложения:
Ответ дал: енот252
0
Большое спасибо
Вас заинтересует