• Предмет: Математика
  • Автор: Аноним
  • Вопрос задан 9 лет назад

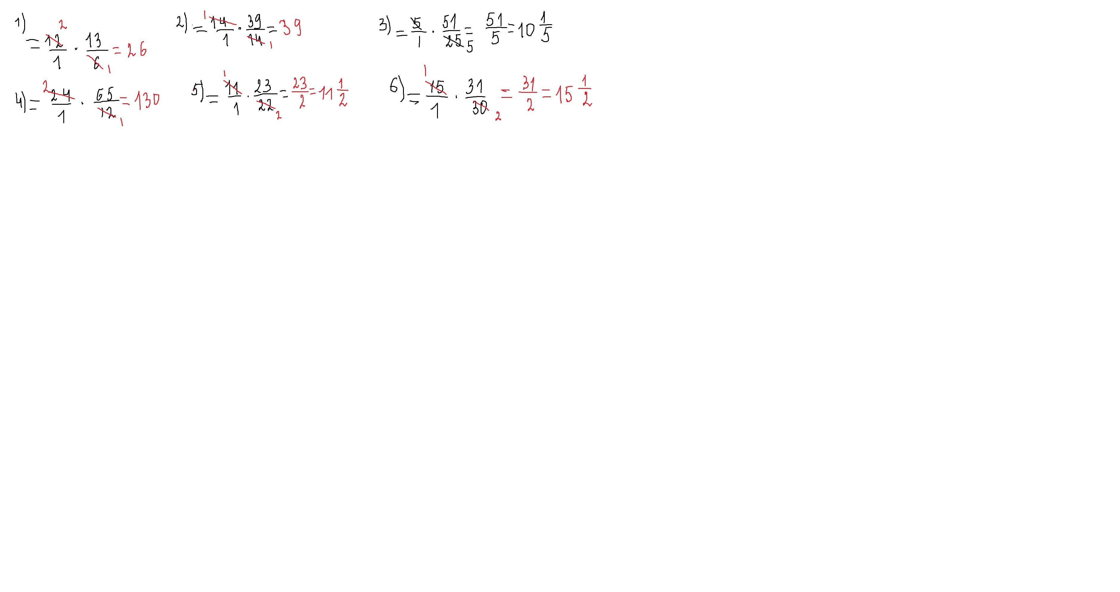
л.Вычислите дробь 12*2 1/6,14*2 11/14, 5*2 1/25 24*5 5/12, 11*1 1/22, 15*1 1/30

Ответы

Ответ дал: parus77
0
превратим дроби в неправильные,
например 12=121;  2 16=(2*6+1)6=136  и выполним умножение
Приложения:
Вас заинтересует