• Предмет: Математика
  • Автор: kamil228337
  • Вопрос задан 9 лет назад

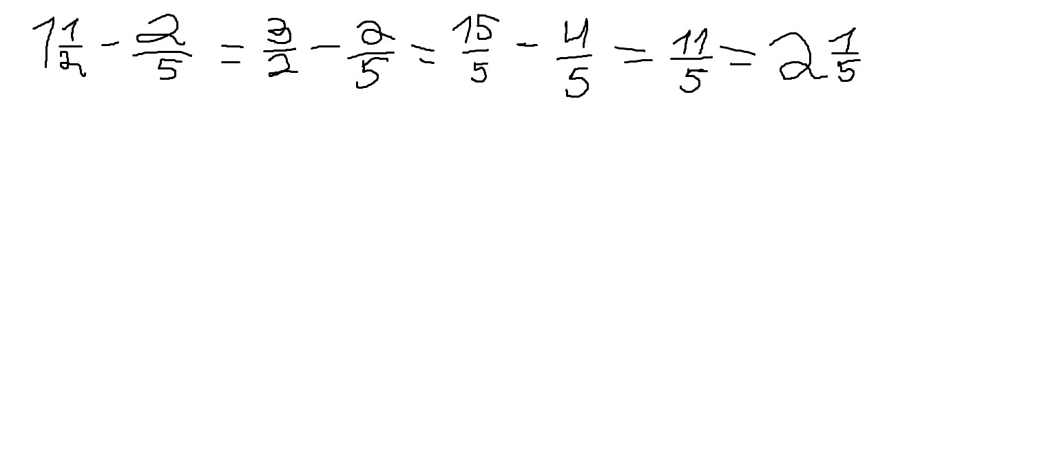
одна целая одна вторая минус две пятых

Ответы

Ответ дал: webdevruslan
0
Мой ответ во вложении
Приложения:
Вас заинтересует