• Предмет: Алгебра
  • Автор: ladafundesh
  • Вопрос задан 9 лет назад

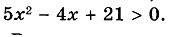
Решите неравенство. (я просто не сильно поняла как это делать)

Приложения:

Ответа на этот вопрос пока нет. Попробуйте найти его через форму поиска.

Вас заинтересует