Ответы
Ответ дал:
0
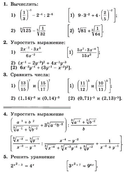
1. 1) 3-2^2=3-4=-1
2) 5-1/2=9/2=4,5
[1) 9*1/3^2+4*(5/2)^2
9*1/9+4*25/4
1+25=26]
[2) 3+1/4=13/4=3,25]
2) 5-1/2=9/2=4,5
[1) 9*1/3^2+4*(5/2)^2
9*1/9+4*25/4
1+25=26]
[2) 3+1/4=13/4=3,25]
Вас заинтересует
2 года назад
2 года назад
3 года назад
9 лет назад
10 лет назад