Ответы
Ответ дал:
0
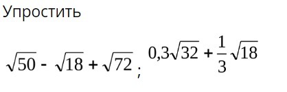
1) √50 - √18 + √72 = √25·2 - √9·2 + √36·2 = 5√2 - 3√2 + 6√2 = √2(5-3+6) = 8√2
2) 0,3√32 + 1/3√18 = 0,3√16·2 + 1/3√9·2 = 0,3·4·√2 + 1/3·3·√2 = 1,2√2 + √2 =
= 2,2√2
2) 0,3√32 + 1/3√18 = 0,3√16·2 + 1/3√9·2 = 0,3·4·√2 + 1/3·3·√2 = 1,2√2 + √2 =
= 2,2√2
Ответ дал:
0
Решение в фото:
==============
==============
Приложения:
Вас заинтересует
2 года назад
2 года назад
3 года назад
3 года назад
9 лет назад
10 лет назад